반응형
문제)
솔레노이드를 도넛처럼 원형 형태로 말은 형태가 바로 Toroid이다.
이번 예제에서는 Toroid가 rectangular cross section을 갖는다고 가정한다.

코일의 감긴 횟수를 N, 안쪽까지의 반지름을 a, 바깥쪽까지의 반지름을 b, rectangular cross section의 높이를 h라고 하자.
(a) self-inductance를 구하시오.
풀이)
(a)
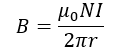
toroid의 대칭성으로 고려하면, toroid 내부의 자기장은 원형임을 알 수 있다.
따라서 Ampere's Law를 적용함에 있어서, 적분 경로를 원의 반지름 r로 정해야 한다.
그러므로 아래와 같다.


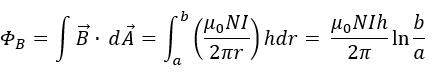
Toroid의 코일의 한 회전을 통과하는 magnetic flux는 rectangular cross section에서 적분함으로써 얻을 수 있다.
그러면 아까 적분 경로를 원의 반지름 r로 정한 것을 이용하면, dA라는 성분은 hdr로 표현할 수 있다.
따라서 magnetic flux를 구해보면 다음과 같다.

한 회전 당 magnetic flux가 위와 같으므로, total magnetic flux는 NΦ라고 할 수 있다.
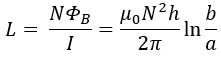
그러므로, self-inductance는 아래와 같다.

반응형
'일반물리학 > 예제' 카테고리의 다른 글
| Toroid에서의 stored energy (0) | 2025.01.06 |
|---|---|
| 솔레노이드의 self-inductance와 stored energy (0) | 2024.12.28 |
| Calculating of the angle of the disk. (0) | 2024.11.20 |
| Calculating Momentum and Radiation Pressure (0) | 2024.11.20 |
| Calculating electromagnetic sinusoidal wave (1) | 2024.11.20 |