반응형
맥스웰 방정식(Maxwell's equations)이란 전자기학에서 전기장과 자기장에 관한 4개의 방정식을 의미한다.
전자기학에는 대표적인 4가지 법칙이 있다.
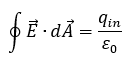
- Gauss's Law

어떤 closed surface에서 Electric flux의 총량은 surface 내부의 총 전하량을 ε_0로 나눈 것과 같다는 법칙으로, 위 법칙이 갖는 물리적 의미는 가우스 법칙은 전기장이 전하 분포와 연관되어 있음을 보여준다.
- Gauss's Law in magnetism

어떤 closed volume을 들어오고 나가는 전기장선(magnetic field lines)의 총량 0이라는 것으로, 위 법칙이 갖는 물리적 의미는 자기 홀극(magnetic monopole)이 존재할 수 없음을 보여준다.
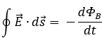
- Faraday's Law

시간에 따른 자기장의 변화가 전기장을 만들어냄을 보여주는 법칙이다.
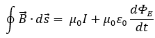
- Ampere - Maxwell Law

시간에 따른 전기장의 변화와 전류가 자기장을 만들어냄을 보여주는 법칙이다.
위 법칙들은 스토크스 정리를 이용해 다른 형태로도 표현 가능하다.
반응형
'일반물리학 > 개념' 카테고리의 다른 글
| 호이겐스의 원리(Huygens' principle) (0) | 2024.12.28 |
|---|---|
| 맥스웰 방정식 ··· (2) (0) | 2024.12.22 |
| 렌츠의 법칙(Lenz's Law) (0) | 2024.11.16 |
| 패러데이 법칙(Faraday's Law) (1) | 2024.11.16 |
| Retro Reflection(재귀 반사) 증명 (0) | 2024.11.14 |