반응형
이전 내용
(https://thpop.tistory.com/84 / 맥스웰 방정식 ··· (1))
앞서 알아본 Maxwell's equations를 이용해 전자기파 파동 방정식(electromagnetic wave equation)을 유도할 수 있다.
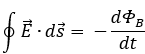
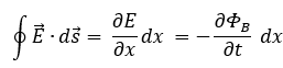
- Faraday's Law

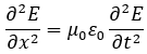
위 Faraday's Law로부터, 아래의 관계식을 유도한다.



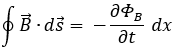
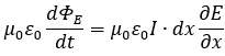
- Ampere - Maxwell Law

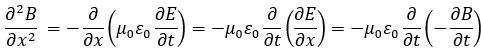
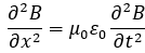
위 Ampere - Maxwell Law로부터, 아래의 관계식을 유도한다.



전자기파 파동 방정식(electromagnetic wave equation)의 유도
- wave equation of electric field


- wave equation of magnetic field


위와 같은 형태의 wave equation을 얻을 수 있다.
반응형
'일반물리학 > 개념' 카테고리의 다른 글
| 호이겐스의 원리(Huygens' principle)를 이용한 반사의 법칙 증명 (0) | 2024.12.28 |
|---|---|
| 호이겐스의 원리(Huygens' principle) (0) | 2024.12.28 |
| 맥스웰 방정식 ··· (1) (0) | 2024.12.22 |
| 렌츠의 법칙(Lenz's Law) (0) | 2024.11.16 |
| 패러데이 법칙(Faraday's Law) (1) | 2024.11.16 |