반응형
- 전기장(Electric Field)이란?
전기력, 중력 등은 공간을 통해 작용하며, 물체가 서로 접촉하지 않더라도 작용한다. 이러한 힘을 장힘(Field force)이라고 하며, 전기장(Electric Field)은 대전된 물체 주위에 형성되는 장이다.
대전된 어떤 물체가 전기장으로 들어가면 전기력의 영향을 받는데, 이는 쿨롱의 법칙과는 다른 개념이다.
(※ 참고 : 쿨롱의 법칙 / https://thpop.tistory.com/2)
큰 양전하 Q 근처에 있는 작은 양전하 q가 있다고 가정해보자.
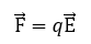
그렇다면 작은 시험 전하 q의 위치에 큰 양전하 Q가 만들어낸 전기장은 다음과 같다.

즉 전기장 E는 Q가 q에 작용하는 전기력 F를 q로 나눈 값이며, 그 단위는 N/C이다.
또한 위의 식을 변형하여 어떤 전하에 의해 형성된 전기장을 안다면, 시험전하가 그 전기장 내부에서 받는 전기력 또한 다음과 같이 계산할 수 있다.

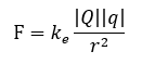
또한 쿨롱법칙을 사용하여 전기장의 크기를 구하는 다른 방법을 알아보면 다음과 같다.
점전하 Q로부터 시험전하 q가 r의 거리만큼 떨어져있다고 가정하면 시험전하에 작용하는 전기력의 크기는 다음과 같다.

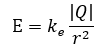
시험 전하의 위치에서 정의된 전기장의 크기 공식에 위의 식을 대입하면 다음과 같은 형태가 된다.

따라서 이와 같은 방법으로 전기장의 크기를 구할 수 있다.
그리고 어떤 시험전하가 전기력을 받고 있다면, 그 시험전하의 위치에는 전기장이 존재한다고 할 수 있다.
반응형
'일반물리학 > 개념' 카테고리의 다른 글
| 패러데이 법칙(Faraday's Law) (1) | 2024.11.16 |
|---|---|
| Retro Reflection(재귀 반사) 증명 (0) | 2024.11.14 |
| - 정전 평형 상태의 도체 (0) | 2024.07.08 |
| - 쿨롱의 법칙 (0) | 2024.07.06 |
| - 전하, 도체와 절연체 (1) | 2024.07.06 |