반응형
앞서 이중 적분을 이용해 곡면의 넓이(surface area) 구하는 방법을 알아보았다.
(https://thpop.tistory.com/68 / 이중 적분을 이용해 곡면의 넓이(surface area) 구하기 ··· (1))
보다 편한 계산을 위해 벡터의 개념을 이용해보자.
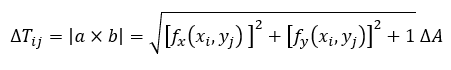
점 P를 시작점으로 하고, △T를 갖는 평행사변형의 두 변을 따라 놓인 벡터를 각각 a,b라고 하자. 그러면 △T = | a × b |이다.
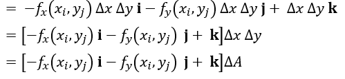
그러면 계산은 아래와 같다.




이를 이용하여 앞서 작성했던 아래 식에 대입해보자.

그러면 다음과 같은 식의 형태로 유도할 수 있다.


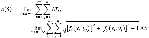
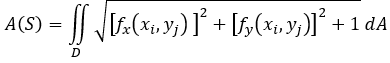
결론적으로 위와 같은 일반형을 유도해낼 수 있다.
반응형
'미분적분학 > 개념' 카테고리의 다른 글
| 야코비안 행렬(Jacobian matrix) (2) | 2024.12.22 |
|---|---|
| 삼중적분과 원기둥좌표계(cylindrical coordinate system) (0) | 2024.11.21 |
| 이중 적분을 이용해 곡면의 넓이(surface area) 구하기 ··· (1) (1) | 2024.11.21 |
| - 극좌표에서의 이중적분 (0) | 2024.11.09 |
| - 반복적분과 푸비니 정리 (Fubini's Theorem) (0) | 2024.11.09 |