반응형
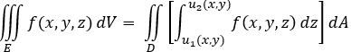
삼중적분은 이중적분이 이중 리만합의 극한으로 정의되었듯이, 마찬가지로 삼중 리만합의 극한으로 정의된다.
평면기하학에서 극좌표계를 이용하여 특정 곡선과 영역을 더 쉽게 설명할 수 있었듯이, 삼차원 공간에서도 어떤 곡면과 입체를 보다 편리하게 설명해주는 좌표계가 있는데, 이를 원기둥좌표계(cylindrical coordinate system)라고 부른다.
이에 대해서 알아보자.
로 표현된다.
삼차원 공간에 한 점 P가 있다고 하자.
그러면 r과 θ는 xy평면에 대한 P의 사영의 극좌표이고, z는 xy평면에서 P까지의 방향이 주어진 거리이다.
즉 직교좌표계를 원기둥좌표로 변환시키려면 아래의 요소들을 이용하여 변환시킨다.


이제 원기둥좌표계에서 삼중적분을 하는 방법을 알아보자.
원기둥좌표계에서 dV = r dz dr dθ로 표현됨을 주의하자.
이를 쉽게 이해하려면, 아래와 같은 흐름으로 이해하자.


최종적으로 정리하자면, 원기둥좌표계에서 삼중적분의 일반형은 아래와 같이 정리된다.

반응형
'미분적분학 > 개념' 카테고리의 다른 글
| 야코비안 행렬(Jacobian matrix) (2) | 2024.12.22 |
|---|---|
| 이중 적분을 이용해 곡면의 넓이(surface area) 구하기 ··· (2) (1) | 2024.11.21 |
| 이중 적분을 이용해 곡면의 넓이(surface area) 구하기 ··· (1) (1) | 2024.11.21 |
| - 극좌표에서의 이중적분 (0) | 2024.11.09 |
| - 반복적분과 푸비니 정리 (Fubini's Theorem) (0) | 2024.11.09 |